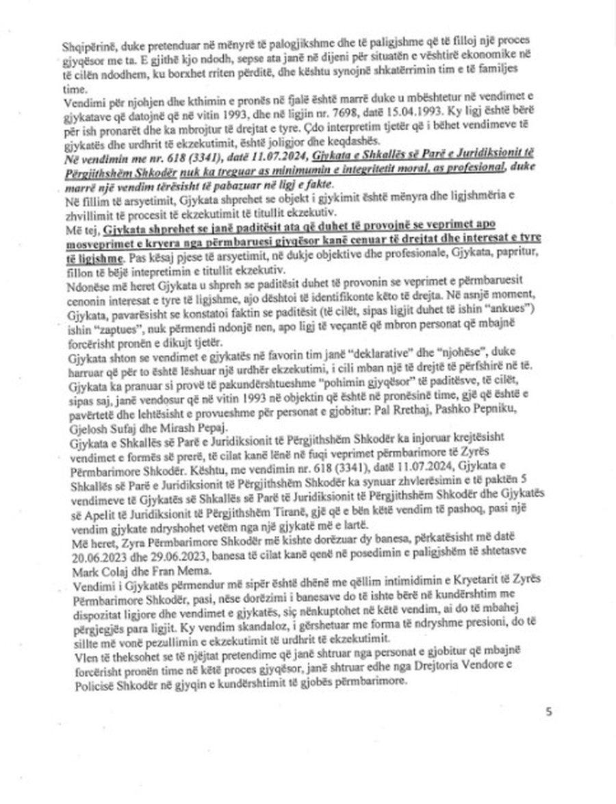
Në muajin korrik të këtij viti, në zyrën e gjyqtarit të Gjykatës së Apelit, Astrit Kalaja mbërriti një dokument voluminoz nga qytetari Gjon Shkambi, banues në Shkodër. Në atë parashtresë, Shkambi kërkonte ndryshimin e vendimit nr. 618 (3341), datë 11 korrik 2024, të Gjykatës së Shkallës së Parë Shkodër.
Ai pretendonte se ishte pronar i ligjshëm i një objekti të njohur si “ish Shkolla e Rezervave”, në lagjen “Skënderbeg” të qytetit të Shkodrës, të cilin, sipas tij, e kishte blerë nga shteti, por që më pas ishte zaptuar pa të drejtë nga persona të tretë.
Në dokumentin e paraqitur në Apel, Gjon Shkambi argumentonte se përmbarimi gjyqësor kishte vepruar në përputhje me ligjin për ekzekutimin e një urdhri të mëparshëm gjyqësor, ndërsa Gjykata e Shkallës së Parë kishte bërë “interpretime të gabuara”, duke mos i dhënë mbrojtje të drejtës së tij të pronësisë.
Ai kërkonte që gjykata e Apelit të ndryshonte vendimin dhe të njihte vlefshmërinë e veprimeve përmbarimore, si dhe të vendoste gjoba ndaj atyre që kishin penguar ekzekutimin.
Kjo parashtresë ligjore, e mbërritur në verë në duart e gjyqtarit Astrit Kalaja, do të bëhej pjesë e një tragjedie të pashembullt në sistemin e drejtësisë shqiptare.
Sot, gjatë seancës në Gjykatën e Apelit të Juridiksionit të Përgjithshëm, ku po shqyrtohej pikërisht kjo çështje, nipi i Gjon Shkambit, Elvis Shkambi, hyri në sallën e gjyqit dhe qëlloi për vdekje gjyqtarin Kalaja, në momentin kur ai po lexonte vendimin përfundimtar.
Burime pranë hetuesve thonë se vendimi i gjyqtarit nuk ishte në favor të kërkesës së familjes Shkambi, çka dyshohet të ketë nxitur reagimin e dhunshëm të autorit. Elvis Shkambi u arrestua menjëherë pas ngjarjes, ndërsë dy persona të tjerë që ishin palë në proces u plagosën.
Ngjarja tronditi opinionin publik dhe hodhi dritë mbi një konflikt pronësor që kishte nisur vite më parë, për një godinë që sipas palës paditëse ishte e blerë ligjërisht, ndërsa për palët e tjera mbetej pronë shtetërore.
Dokumenti që nisi si një kërkesë për drejtësi, u kthye sot në simbolin e një tragjedie që la pas një gjyqtar të vrarë dhe një sistem që kërkon përgjigje.










